FotobusAutobusų transportas

Nuotraukos informacija

473 KB


Nuotraukos identifikatorius:2518421
Bylos dydis:473 KB
Autorius:Семен Семеныч
Publikuota:26.10.2020 18:44 MSK
Yra tinklapyje dienų:1843
Unikalių peržiūrų:251
Komentarų:0

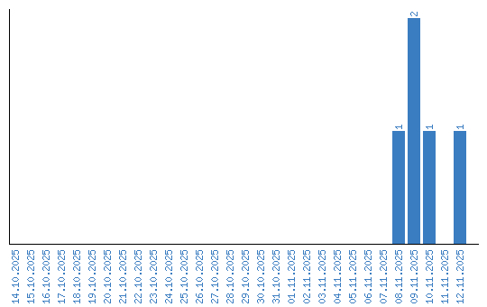
Peržiūrų dinamika pagal dienas