ФотабусАўтобусны транспарт

Iнфармацыя аб малюнку

424 КБ


Ідэнтыфікатар малюнка:2505379
Памер файла:424 КБ
Аўтар:vadya
Апублікавана:05.10.2020 14:54 MSK
Знаходзіцца на сайце, дзён:1857
Унікальных праглядаў:306
Каментарыяў:0

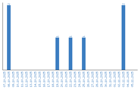
Дынаміка праглядаў па датах