ФотабусАўтобусны транспарт

Iнфармацыя аб малюнку

271 КБ


Ідэнтыфікатар малюнка:2478868
Памер файла:271 КБ
Аўтар:olegp
Апублікавана:23.08.2020 19:22 MSK
Знаходзіцца на сайце, дзён:1907
Унікальных праглядаў:192
Каментарыяў:0

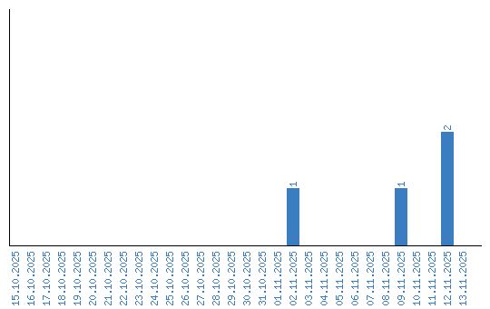
Дынаміка праглядаў па датах