ФотобусАвтобусный транспорт

Информация об изображении

250 КБ


Идентификатор изображения:2465707
Размер файла:250 КБ
Автор:AS
Опубликовано:02.08.2020 23:01 MSK
Находится на сайте, дней:2063
Уникальных просмотров:215
Комментариев:0

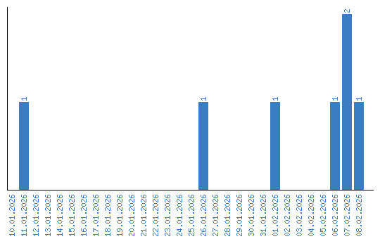
Динамика просмотров по датам