ФотабусАўтобусны транспарт

Iнфармацыя аб малюнку

368 КБ


Ідэнтыфікатар малюнка:2396029
Памер файла:368 КБ
Аўтар:A R
Апублікавана:13.04.2020 18:22 MSK
Знаходзіцца на сайце, дзён:2041
Унікальных праглядаў:172
Каментарыяў:0

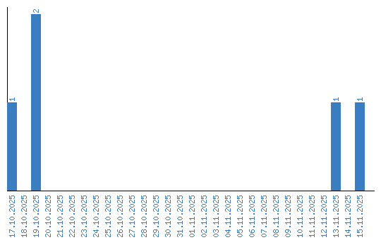
Дынаміка праглядаў па датах