FotobusAutobusa transports

Informācija par attēli

432 KB


Attēla identifikātors:2387612
Faila lielums:432 KB
Autors:Волк134rus
Ir publicēts:30.03.2020 23:41 MSK
Atrodas vietnē, dienās:2053
Unikāli skatījumi:189
Komentārus:0

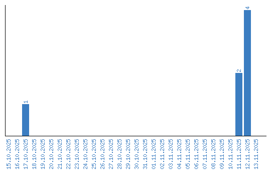
Dinamika skatišana pēc datuma