ФотобусАвтобусный транспорт

Информация об изображении

481 КБ


Идентификатор изображения:2344830
Размер файла:481 КБ
Автор:Олег Довгалюк
Опубликовано:22.01.2020 21:12 MSK
Находится на сайте, дней:2268
Уникальных просмотров:474
Комментариев:0

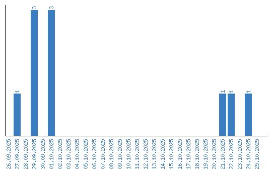
Динамика просмотров по датам