ФотабусАўтобусны транспарт

Iнфармацыя аб малюнку

304 КБ


Ідэнтыфікатар малюнка:2313710
Памер файла:304 КБ
Аўтар:Alex-Od
Апублікавана:02.11.2019 00:49 MSK
Знаходзіцца на сайце, дзён:2183
Унікальных праглядаў:414
Каментарыяў:0

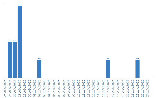
Дынаміка праглядаў па датах