FotobusAutobusų transportas

Nuotraukos informacija

498 KB


Nuotraukos identifikatorius:2306748
Bylos dydis:498 KB
Autorius:АндрейС
Publikuota:21.10.2019 09:16 MSK
Yra tinklapyje dienų:2346
Unikalių peržiūrų:217
Komentarų:0

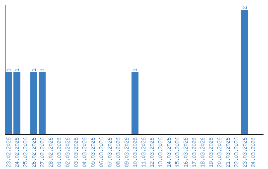
Peržiūrų dinamika pagal dienas