FotobusΜεταφορά με λεωφορείο

Picture Statistics

485 KB


Picture ID:2192515
File Size:485 KB
Συγγραφέας:ariss_ka
Publication Date:11.05.2019 12:20 MSK
Days in Database:2503
Unique views:435
Comments:0

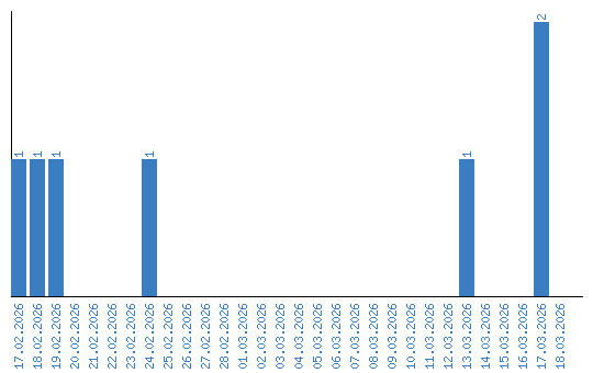
Viewing statistics by date