ФотабусАўтобусны транспарт

Iнфармацыя аб малюнку

223 КБ


Ідэнтыфікатар малюнка:217867
Памер файла:223 КБ
Аўтар:Eugene
Апублікавана:05.02.2010 10:55 MSK
Знаходзіцца на сайце, дзён:5753
Унікальных праглядаў:621
Каментарыяў:3

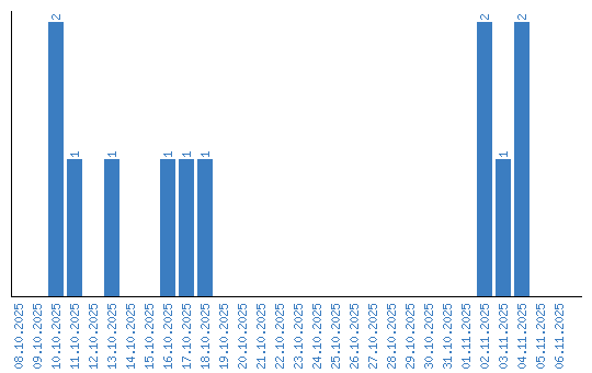
Дынаміка праглядаў па датах