FotobusΜεταφορά με λεωφορείο

Picture Statistics

247 KB


Picture ID:211199
File Size:247 KB
Συγγραφέας:ALX
Publication Date:20.01.2010 15:17 MSK
Days in Database:5922
Unique views:448
Comments:0

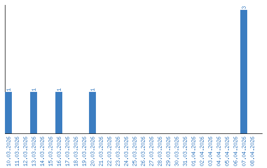
Viewing statistics by date