FotobusΜεταφορά με λεωφορείο

Picture Statistics

213 KB


Picture ID:210425
File Size:213 KB
Συγγραφέας:ariss_ka
Publication Date:18.01.2010 23:23 MSK
Days in Database:5777
Unique views:172
Comments:0

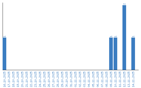
Viewing statistics by date