ФотобусАвтобусний транспорт

Статистика по зображенню

345 КБ


Ідентифікатор зображення:1849506
Розмір файлу:345 КБ
Автор:Власов Максим
Опубліковано:17.10.2017 20:22 MSK
Знаходиться на сайті, днів:2966
Унікальних переглядів:481
Коментарів:0

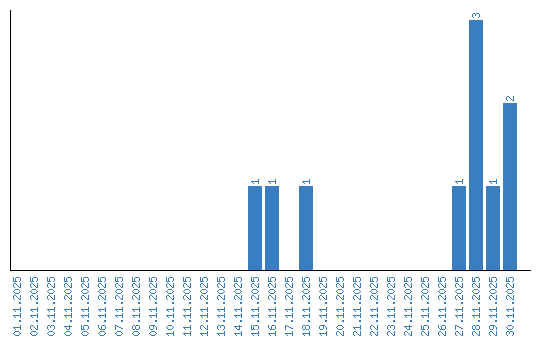
Динаміка переглядів за датами