ФотобусАвтобусный транспорт

Информация об изображении

244 КБ


Идентификатор изображения:184803
Размер файла:244 КБ
Автор:Коновалов Артём
Опубликовано:11.11.2009 23:59 MSK
Находится на сайте, дней:5960
Уникальных просмотров:340
Комментариев:0

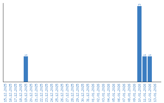
Динамика просмотров по датам