ФотобусАвтобусный транспорт

Информация об изображении

330 КБ


Идентификатор изображения:1826228
Размер файла:330 КБ
Автор:ariss_ka
Опубликовано:16.09.2017 00:55 MSK
Находится на сайте, дней:3043
Уникальных просмотров:233
Комментариев:0

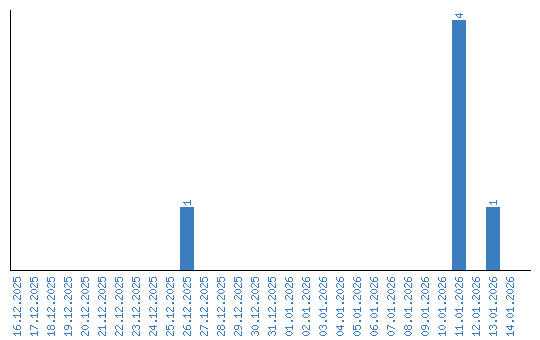
Динамика просмотров по датам