FotobusΜεταφορά με λεωφορείο

Picture Statistics

207 KB


Picture ID:181936
File Size:207 KB
Συγγραφέας:Джесси
Publication Date:04.11.2009 23:47 MSK
Days in Database:5855
Unique views:313
Comments:0

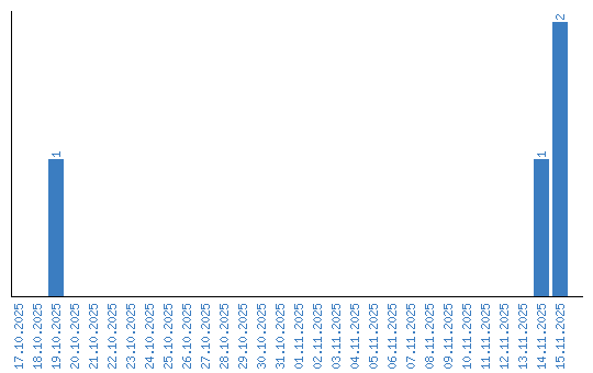
Viewing statistics by date