ФотобусАвтобусный транспорт

Информация об изображении

283 КБ


Идентификатор изображения:1803876
Размер файла:283 КБ
Автор:Smeshnoi
Опубликовано:13.08.2017 20:03 MSK
Находится на сайте, дней:3124
Уникальных просмотров:310
Комментариев:0

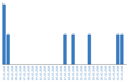
Динамика просмотров по датам