ФотабусАўтобусны транспарт

Iнфармацыя аб малюнку

338 КБ


Ідэнтыфікатар малюнка:1771276
Памер файла:338 КБ
Аўтар:Maksimus
Апублікавана:17.06.2017 23:54 MSK
Знаходзіцца на сайце, дзён:3201
Унікальных праглядаў:319
Каментарыяў:0

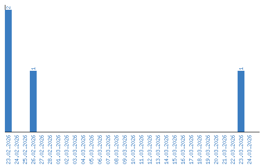
Дынаміка праглядаў па датах