ФотобусАвтобусный транспорт

Информация об изображении

423 КБ


Идентификатор изображения:1765324
Размер файла:423 КБ
Автор:Alex_47
Опубликовано:06.06.2017 15:35 MSK
Находится на сайте, дней:3167
Уникальных просмотров:472
Комментариев:1

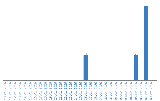
Динамика просмотров по датам