ФотобусАвтобустар галереясы

Информация об изображении

345 КБ


Идентификатор изображения:1696053
Размер файла:345 КБ
Автор:Володя М
Опубликовано:12.02.2017 21:36 MSK
Находится на сайте, дней:3177
Уникальных просмотров:293
Комментариев:0

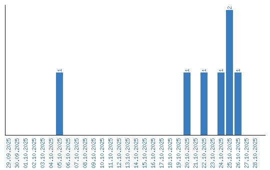
Динамика просмотров по датам