FotobusΜεταφορά με λεωφορείο

Picture Statistics

456 KB


Picture ID:1675251
File Size:456 KB
Συγγραφέας:ALX
Publication Date:03.01.2017 01:37 MSK
Days in Database:3326
Unique views:315
Comments:0

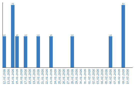
Viewing statistics by date