ФотобусАвтобусный транспорт

Информация об изображении

288 КБ


Идентификатор изображения:1660728
Размер файла:288 КБ
Автор:Владичка
Опубликовано:03.12.2016 22:49 MSK
Находится на сайте, дней:3256
Уникальных просмотров:203
Комментариев:0

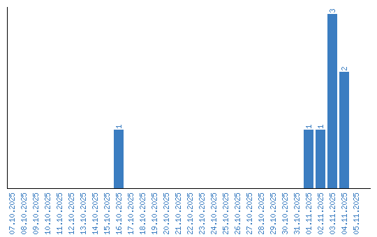
Динамика просмотров по датам