ФотобусАвтобусный транспорт

Информация об изображении

167 КБ


Идентификатор изображения:1610904
Размер файла:167 КБ
Автор:Grimbusz
Опубликовано:28.08.2016 14:30 MSK
Находится на сайте, дней:3485
Уникальных просмотров:638
Комментариев:0

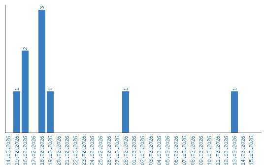
Динамика просмотров по датам