FotobusAutobusa transports

Informācija par attēli

210 KB


Attēla identifikātors:159169
Faila lielums:210 KB
Autors:Антифактор
Ir publicēts:12.09.2009 15:47 MSK
Atrodas vietnē, dienās:5906
Unikāli skatījumi:244
Komentārus:0

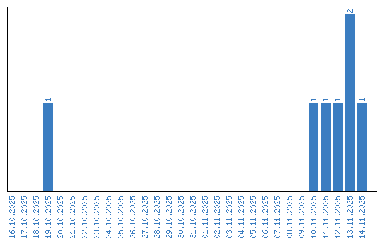
Dinamika skatišana pēc datuma