ФотобусАвтобусный транспорт

Информация об изображении

272 КБ


Идентификатор изображения:1489918
Размер файла:272 КБ
Автор:straightcelle
Опубликовано:21.01.2016 23:50 MSK
Находится на сайте, дней:3705
Уникальных просмотров:400
Комментариев:0

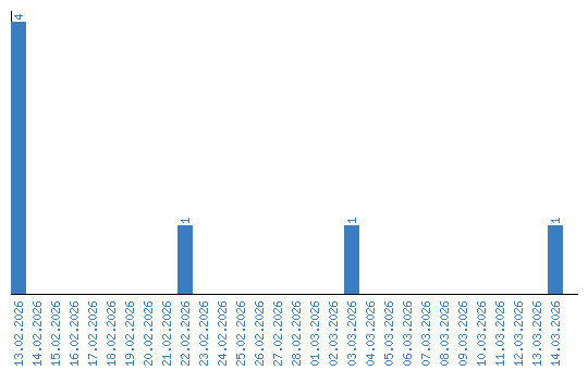
Динамика просмотров по датам