FotobusAutobusų transportas

Nuotraukos informacija

344 KB


Nuotraukos identifikatorius:1417750
Bylos dydis:344 KB
Autorius:Caramba
Publikuota:26.08.2015 22:57 MSK
Yra tinklapyje dienų:3828
Unikalių peržiūrų:344
Komentarų:0

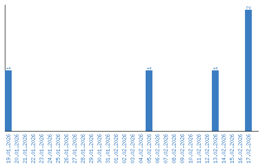
Peržiūrų dinamika pagal dienas