FotobusAutobusų transportas

Nuotraukos informacija

317 KB


Nuotraukos identifikatorius:1368304
Bylos dydis:317 KB
Autorius:Ян Мухтаров
Publikuota:17.06.2015 12:17 MSK
Yra tinklapyje dienų:3948
Unikalių peržiūrų:290
Komentarų:0

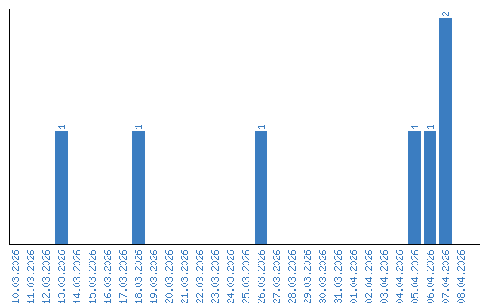
Peržiūrų dinamika pagal dienas