ФотобусАвтобустар галереясы

Информация об изображении

284 КБ


Идентификатор изображения:1358963
Размер файла:284 КБ
Автор:Недовольная публика
Опубликовано:05.06.2015 22:22 MSK
Находится на сайте, дней:3878
Уникальных просмотров:271
Комментариев:0

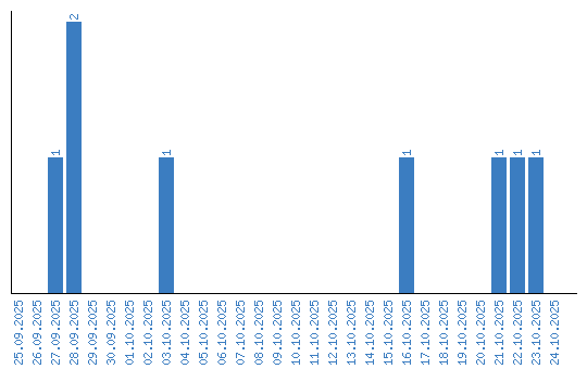
Динамика просмотров по датам