ФотобусАвтобусный транспорт

Информация об изображении

451 КБ


Идентификатор изображения:1348844
Размер файла:451 КБ
Автор:ALX
Опубликовано:17.05.2015 11:54 MSK
Находится на сайте, дней:3944
Уникальных просмотров:269
Комментариев:0

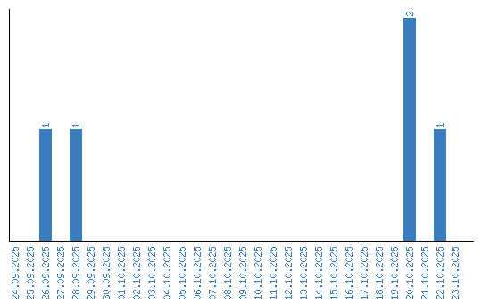
Динамика просмотров по датам