FotobusAutobusų transportas

Nuotraukos informacija

336 KB


Nuotraukos identifikatorius:1261675
Bylos dydis:336 KB
Autorius:dielektrik
Publikuota:02.12.2014 20:27 MSK
Yra tinklapyje dienų:4120
Unikalių peržiūrų:221
Komentarų:0

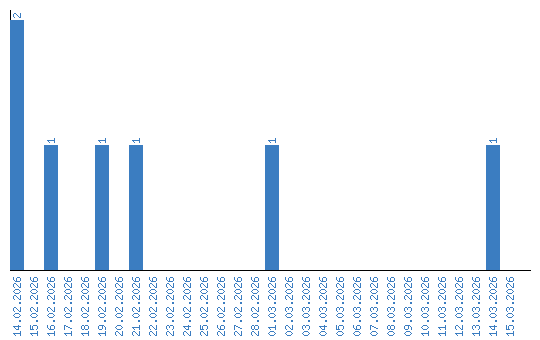
Peržiūrų dinamika pagal dienas