ФотобусАвтобусный транспорт

Информация об изображении

344 КБ


Идентификатор изображения:1228228
Размер файла:344 КБ
Автор:dielektrik
Опубликовано:13.10.2014 22:54 MSK
Находится на сайте, дней:4203
Уникальных просмотров:259
Комментариев:0

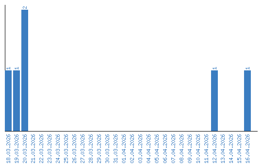
Динамика просмотров по датам