ФотобусАвтобусный транспорт

Информация об изображении

320 КБ


Идентификатор изображения:1223520
Размер файла:320 КБ
Автор:9122_DA
Опубликовано:06.10.2014 21:50 MSK
Находится на сайте, дней:4178
Уникальных просмотров:245
Комментариев:0

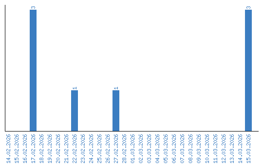
Динамика просмотров по датам