ФотобусАвтобусний транспорт

Статистика по зображенню

278 КБ


Ідентифікатор зображення:1194103
Розмір файлу:278 КБ
Автор:Виталий В
Опубліковано:26.08.2014 22:14 MSK
Знаходиться на сайті, днів:4097
Унікальних переглядів:400
Коментарів:0

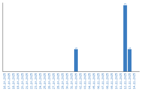
Динаміка переглядів за датами