ФотобусАвтобусный транспорт

Информация об изображении

264 КБ


Идентификатор изображения:1146683
Размер файла:264 КБ
Автор:Александр Мельников
Опубликовано:17.06.2014 10:45 MSK
Находится на сайте, дней:4143
Уникальных просмотров:199
Комментариев:0

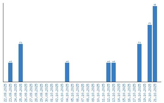
Динамика просмотров по датам