ФотобусАвтобусный транспорт

Информация об изображении

278 КБ


Идентификатор изображения:1050873
Размер файла:278 КБ
Автор:Eugene
Опубликовано:23.01.2014 18:35 MSK
Находится на сайте, дней:4435
Уникальных просмотров:497
Комментариев:0

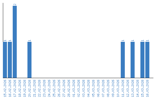
Динамика просмотров по датам