FotobusΜεταφορά με λεωφορείο

Picture Statistics

316 KB


Picture ID:1022890
File Size:316 KB
Συγγραφέας:dcs100
Publication Date:01.12.2013 12:11 MSK
Days in Database:4451
Unique views:290
Comments:0

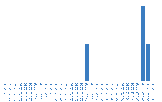
Viewing statistics by date