ФотобусАвтобусный транспорт

Информация об изображении

348 КБ


Идентификатор изображения:769458
Размер файла:348 КБ
Автор:NP
Опубликовано:25.10.2012 10:33 MSK
Находится на сайте, дней:4787
Уникальных просмотров:277
Комментариев:0

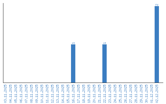
Динамика просмотров по датам