ФотобусАвтобусный транспорт

Информация об изображении

199 КБ


Идентификатор изображения:493097
Размер файла:199 КБ
Автор:LAEN
Опубликовано:15.07.2011 22:16 MSK
Находится на сайте, дней:5254
Уникальных просмотров:265
Комментариев:0

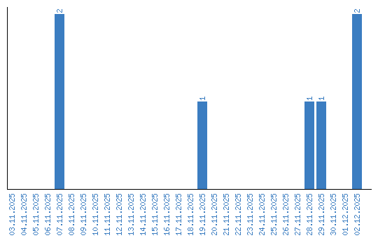
Динамика просмотров по датам