ФотобусАвтобусный транспорт

Информация об изображении

586 КБ


Идентификатор изображения:3146702
Размер файла:586 КБ
Автор:Georgiys
Опубликовано:18.09.2023 22:35 MSK
Находится на сайте, дней:788
Уникальных просмотров:130
Комментариев:0

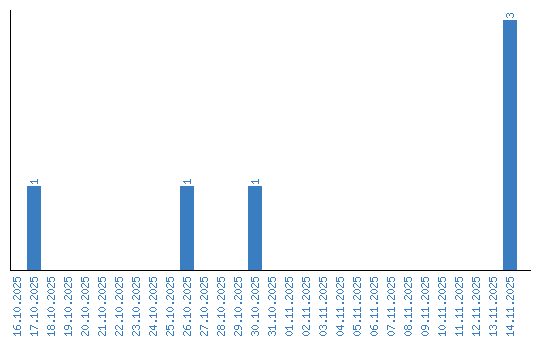
Динамика просмотров по датам