ФотобусАвтобусный транспорт

Информация об изображении

520 КБ


Идентификатор изображения:3080766
Размер файла:520 КБ
Автор:Сэм
Опубликовано:15.06.2023 21:27 MSK
Находится на сайте, дней:871
Уникальных просмотров:155
Комментариев:3

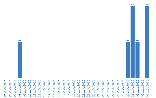
Динамика просмотров по датам