ФотобусАвтобусный транспорт

Информация об изображении

630 КБ


Идентификатор изображения:3035231
Размер файла:630 КБ
Автор:Саша Данилов
Опубликовано:05.04.2023 21:05 MSK
Находится на сайте, дней:972
Уникальных просмотров:293
Комментариев:0

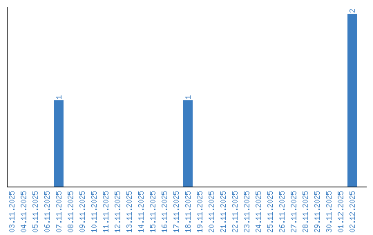
Динамика просмотров по датам