ФотобусАвтобусный транспорт

Информация об изображении

390 КБ


Идентификатор изображения:2545582
Размер файла:390 КБ
Автор:ariss_ka
Опубликовано:20.12.2020 17:08 MSK
Находится на сайте, дней:1809
Уникальных просмотров:477
Комментариев:0

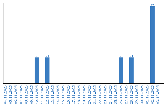
Динамика просмотров по датам