ФотобусАвтобусный транспорт

Информация об изображении

334 КБ


Идентификатор изображения:2005290
Размер файла:334 КБ
Автор:Саша Данилов
Опубликовано:03.07.2018 19:43 MSK
Находится на сайте, дней:2709
Уникальных просмотров:225
Комментариев:0

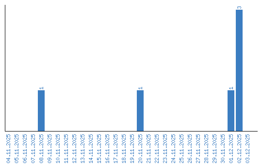
Динамика просмотров по датам