ФотобусАвтобусный транспорт

Информация об изображении

330 КБ


Идентификатор изображения:1731872
Размер файла:330 КБ
Автор:WEST
Опубликовано:14.04.2017 17:46 MSK
Находится на сайте, дней:3155
Уникальных просмотров:256
Комментариев:0

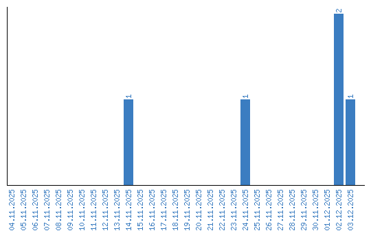
Динамика просмотров по датам