ФотобусАвтобусный транспорт

Информация об изображении

324 КБ


Идентификатор изображения:1257438
Размер файла:324 КБ
Автор:ONE-T
Опубликовано:24.11.2014 02:15 MSK
Находится на сайте, дней:4008
Уникальных просмотров:309
Комментариев:0

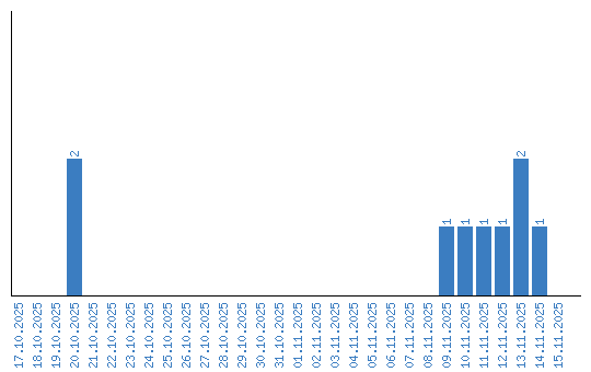
Динамика просмотров по датам