ФотобусАвтобусный транспорт

Информация об изображении

238 КБ


Идентификатор изображения:1237265
Размер файла:238 КБ
Автор:monochrome
Опубликовано:27.10.2014 21:40 MSK
Находится на сайте, дней:4054
Уникальных просмотров:177
Комментариев:0

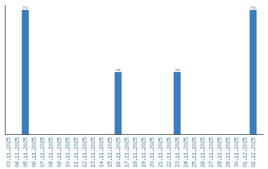
Динамика просмотров по датам